一、簡介
紅外測溫是一種基于物體發射的紅外輻射來測量其表面溫度的非接觸式測溫技術。所有物體在絕對零度以上都會發射紅外輻射,其輻射強度與物體的溫度成正比。紅外測溫技術通過檢測物體發射的紅外輻射,利用Plancks law(普朗克定律)和Stefan-Boltzmann law(斯蒂芬-玻爾茲曼定律),計算出物體的表面溫度。該技術廣泛應用于工業制造、醫療診斷、環境監測、食品安全等領域,具有快速、非接觸、高精度等優點。

紅外測溫圖
二、
2.1
1、簡介
單色測溫是一種基于物體熱輻射特性的非接觸式測溫方法,通過檢測物體在某一特定波長下的輻射強度來測量溫度。適用于大多數常規測溫場景,尤其是在物體發射率已知且穩定的情況下,能夠提供較高的測溫精度。
2、工作原理
單色測溫的基本原理是基于Plancks law(普朗克定律),即物體在某一特定波長下的輻射強度與其溫度成正比。測溫儀通過光學系統收集物體發射的輻射光,經過濾色片選擇特定波長的輻射光,再由探測器將光信號轉換為電信號,最終通過計算得到物體的溫度。
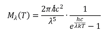
Plancks law(普朗克定律):

在實際應用中,通常會通過實驗標定,得到一個更簡單的經驗公式:

其中, k和b是通過實驗標定得到的系數,I是測得的輻射強度。

單色原理
3、儀器構成
單色測溫儀主要由光學系統(透鏡、濾色片等)、探測器(Si、InGaAs、熱電堆等)、信號處理單元和顯示單元組成。光學系統用于收集和聚焦輻射光,通過濾色片選擇特定波長的輻射光,探測器將光信號轉換為電信號,信號處理單元進行計算并輸出溫度值。
2.2、雙色測溫
1、簡介
雙色測溫技術是一種先進的非接觸式溫度測量方法,特別適用于高溫、復雜環境或難以直接接觸的目標。其核心是利用三明治結構的雙色探測器,通過測量兩個相鄰波長的輻射強度比值來確定溫度。這種方法不僅獨立于目標的發射率,還能有效克服視野中的污染物、移動目標、大氣干擾等問題。因此,雙色測溫技術在工業生產、冶金、化工、玻璃加工等領域得到了廣泛應用。
2、工作原理
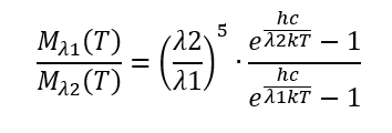
雙色測溫的原理基于物體在兩個不同波長的輻射強度比值與溫度之間的關系。具體來說,雙色探測器通過兩層相同或不同材料的探測器分別檢測兩個波段的輻射能量。例如,常見的組合包括硅-硅(Si-Si)、硅-銦鎵砷(Si-InGaAs)、銦鎵砷-銦鎵砷(InGaAs -InGaAs)、硅-硒化鉛(Si-PbS)等。頂層探測器不僅具備正常的檢測功能,還可以作為帶通濾色片,使底層探測器能夠檢測到特定波段的輻射光。通過計算兩個波段的輻射強度比值,并結合標準黑體輻射曲線,可以準確測量目標溫度。
雙色測溫公式:

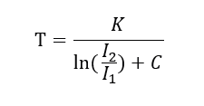
在實際應用中,通常將雙色測溫公式進行進一步簡化,通過測量兩個波長下的輻射強度比 I1/ I2.結合已知的常數K和C,直接計算出物體的溫度:

其中,
,
,(第二輻射常數),
,T 為目標溫度。

雙色測溫原理
3、儀器構成
雙色測溫儀由光學系統、雙色探測器和信號處理單元組成。由光學系統聚焦和收集熱輻射體發出的輻射光,通過雙色探測器將光信號轉為電信號,放大器將雙色探測器輸出的信號進行放大,并經由信號處理單元處理,計算輻射強度比值,并結合環境溫度補償,最終輸出溫度數據。

雙色測溫結構
2.3
1、簡介
多光譜測溫是一種通過檢測物體在多個波長下的紅外輻射強度,結合發射率模型和數學模型反演真實溫度的方法。與單色和雙色測溫相比,多光譜測溫能夠提供更豐富的溫度信息,廣泛應用于工業生產和復雜環境下的高精度測溫。
2、工作原理
多光譜測溫的基本原理是通過分光系統將目標輻射分解為不同波長的光譜,利用探測器陣列同步獲取各通道輻射強度,結合標定數據與自適應算法求解目標的發射率特性及真實溫度。
多光譜測溫公式:

其中,
分別是物體在多個波長下的輻射出射度,
是多通道數據擬合算法。
3、儀器構成:
多光譜測溫儀主要由光學系統、探測器陣列(Si、InGaAs等)、信號處理單元組成。

多通道測溫結構框圖



探測器陣列實物圖(從左至右 InGaAs線陣、PbSe線陣、OEM模塊)
推薦型號:
